新疆阜康荒漠生态系统国家野外科学观测研究站
新闻公告
新疆生地所在《Agriculture, Ecosystems & Environment》发文揭示土壤碳再分配与微量元素限制是长期施肥下荒漠农业生态系统棉花产量下降的关键因素
作者: 阜康站 更新时间: 2026-04-09

荒漠地区占地球陆地表面近四分之一,是气候极端、生态脆弱的生态系统之一。降水稀少、养分贫瘠与植被稀疏使其在不可持续土地利用下极易退化。在开垦的荒漠农业生态系统中,施肥虽能提高作物产量,但长期的化学与有机养分投入也可能引发土壤酸/碱化及计量失衡。因此,平衡短期产量提升与长期土壤健康,对维持荒漠农业生态系统至关重要。

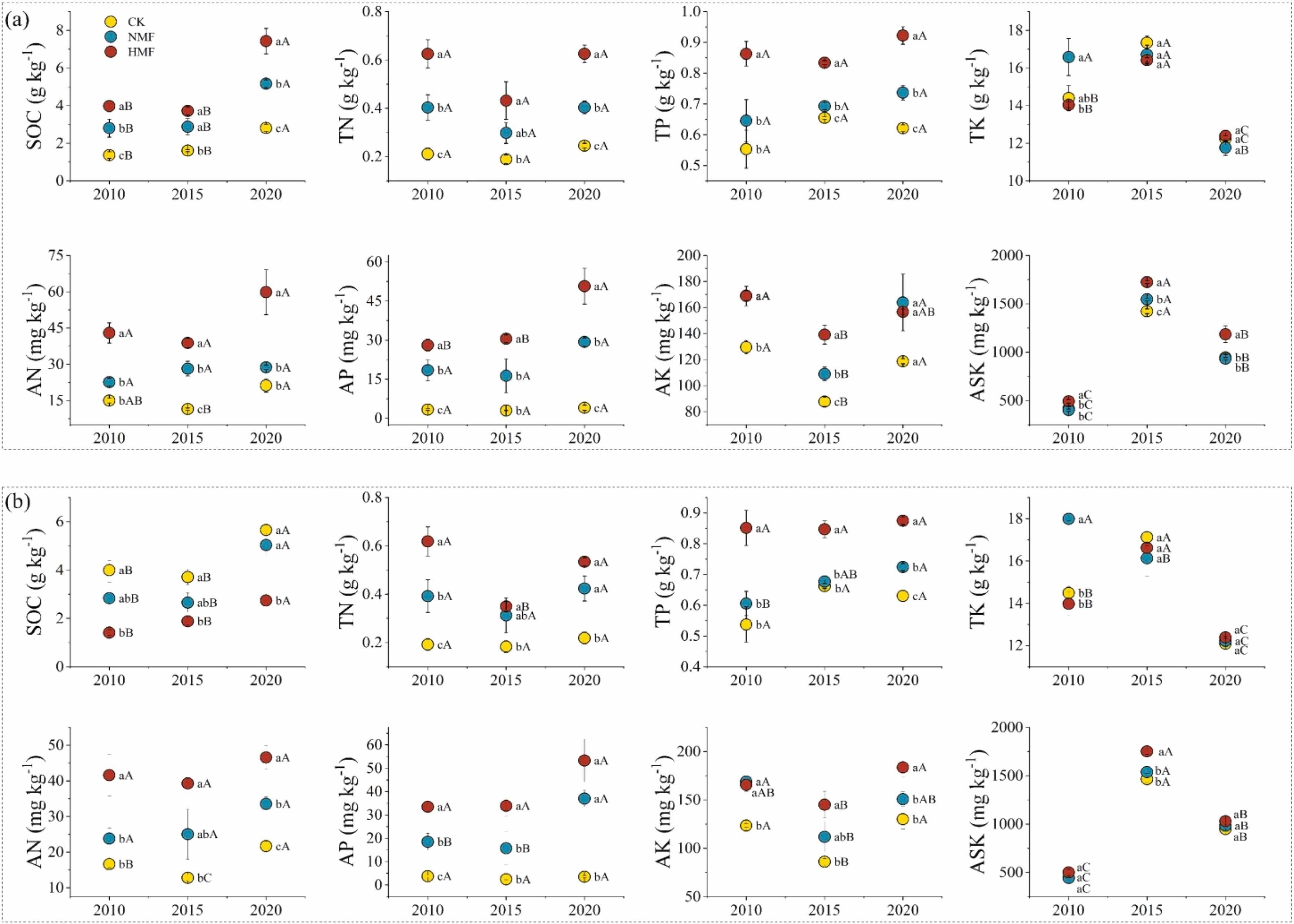
针对上述问题,中国科学院新疆生态与地理研究所策勒荒漠草地生态系统国家野外科学观测研究站曾凡江研究员团队,以塔克拉玛干沙漠南缘复垦的荒漠农田棉花及土壤(2010-2020年)为研究对象,设置了高量有机肥(HMF: 360 kg N ha-1尿素, 120 kg P2O5 ha-1过磷酸钙, 30 t ha-1农家肥)、常规有机肥(200 kg N ha-1尿素, 60 kg P2O5 ha-1过磷酸钙, 21 t ha-1农家肥)和无施肥对照(CK)三种处理,对表层(0-10 cm)和深层土壤(10-20 cm)的理化性质、养分储量、微量元素有效性及棉花生长指标进行了系统分析。

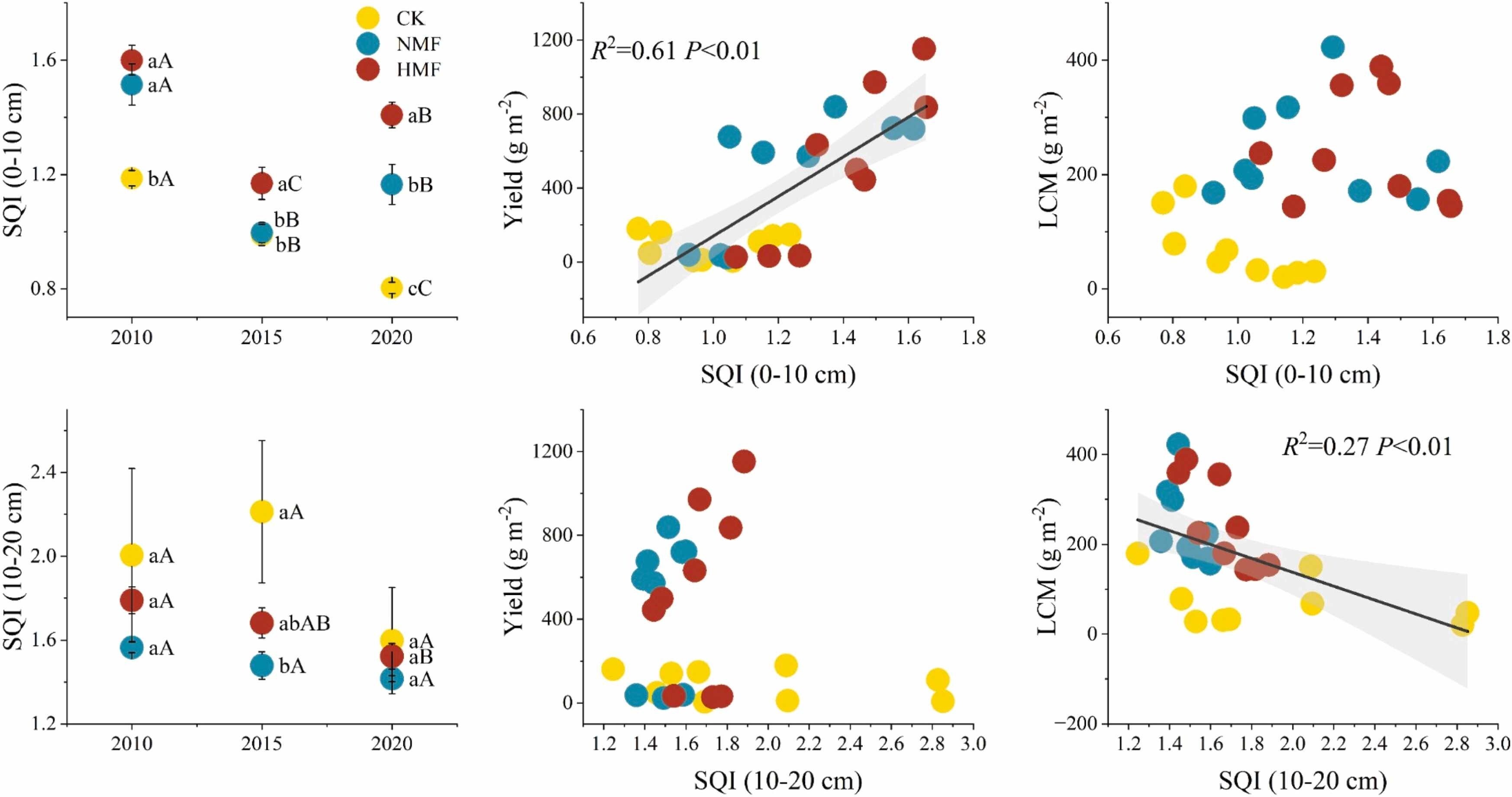
结果表明,长期施肥显著增加了表层土壤有机碳和有效养分含量,但导致了深层土壤有机碳的流失。这种碳的“表层富集、深层耗竭”现象,削弱了深层土壤的养分缓冲与供水潜能,导致棉花产量在短期施肥后增加,而长期施肥后出现下降的趋势。

研究结果为优化荒漠绿洲农田的养分管理提供了科学依据。未来需考虑采取分层施肥策略,在补充表层有机质的同时关注深层土壤碳库的维持与有效养分的靶向补充,结合滴灌水肥一体化技术,构建“碳?养分?微量元素”协同的智能施肥体系,以实现荒漠绿洲农业的长期可持续发展。

以上研究结果以“Soil carbon redistribution and micronutrient constraints drive cotton yield decline under long-term fertilization in desert agroecosystems”为题发表于《Agriculture, Ecosystems & Environment》。中国科学院新疆生态与地理研究所闫景明博士为论文第一作者,Waqar Islam副研究员和曾凡江研究员为论文通讯作者。该研究得到国家自然科学基金和自治区人才项目的支持。

论文链接:https://doi.org/10.1016/j.agee.2026.110405


图1:不同施肥处理下的土壤养分特征 

图2:不同施肥处理下的土壤质量指数及其与棉花产量的相关性分析 

图3:不同施肥处理下驱动棉花产量形成的因素分析


版权所有:国家生态系统观测研究网络 京ICP备05002838号-58
Email: fkd@cern.ac.cn TEL:0991-7827367 技术支持:国家生态科学数据中心 • 中国科学院计算机网络信息中心